
-
生物通官微
陪你抓住生命科技
跳动的脉搏
上层大气中异戊二烯氧化化学机制揭示:NOx条件下IP-OOM形成路径及其对热带新粒子生成的关键作用
【字体: 大 中 小 】 时间:2025年09月30日 来源:Nature Communications 15.7
编辑推荐:
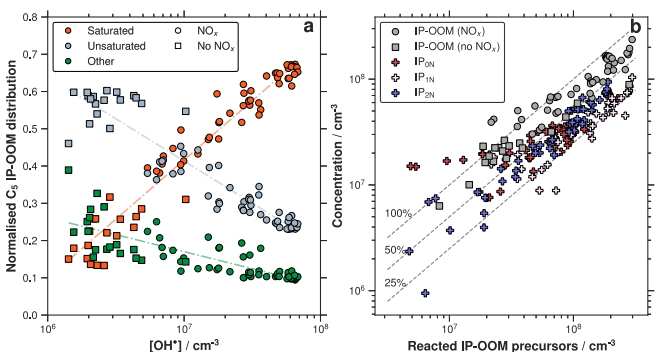
本研究针对上层对流层低温条件下异戊二烯(C5H8)氧化路径不明的问题,通过CERN CLOUD室在223K/243K下的模拟实验,首次揭示了双重OH•氧化驱动的IP-OOM(异戊二烯氧化有机分子)生成机制。研究发现HO2•、NO•和NO2终止自由基比例直接调控含氮/非含氮IP-OOM分布,证实了过氧硝酸酯(RO2NO2)在低温下的稳定性(kRO2+NO2=3.4×10?12 cm3s?1)。该机制与飞机观测高度吻合,为热带上层对流层新粒子形成(NPF)提供了关键化学依据。





生物通微信公众号
知名企业招聘