
-
生物通官微
陪你抓住生命科技
跳动的脉搏
基于代谢组学构建年龄无关的MASLD相关肝纤维化新型诊断指标GP指数
【字体: 大 中 小 】 时间:2025年09月04日 来源:Scientific Reports 3.9
编辑推荐:
本研究针对代谢功能障碍相关脂肪肝病(MASLD)肝纤维化诊断中年龄因素干扰的临床难题,通过整合炎症、血液学和代谢组学数据,首次开发出基于谷氨酰胺(Gln)和丙酸盐(Prop)的GP指数。该研究通过84项指标的系统筛选和63例患者的队列验证,证实GP指数在区分轻/重度肝纤维化方面优于传统FIB-4/FIB-3评分,为跨年龄段肝纤维化无创诊断提供了新型代谢标志物组合,对改善老年患者诊断准确性具有重要临床价值。
在全球代谢性疾病流行的背景下,代谢功能障碍相关脂肪肝病(MASLD)已取代病毒性肝炎成为慢性肝病的主要病因。这种疾病最令人担忧的并发症是肝纤维化——就像皮肤受伤会结疤一样,肝脏在长期代谢损伤下也会形成异常的"疤痕组织"。然而当前临床面临两大困境:金标准肝活检具有创伤性,而常用的无创诊断指标如FIB-4又存在"年龄歧视"——老年患者常被误判为纤维化,只因计算公式中含有年龄参数。这就像用同一把尺子测量儿童和成人的"健康",显然有失公允。
为解决这一临床痛点,来自意大利罗马大学等机构的研究团队在《Scientific Reports》发表创新成果。研究人员独辟蹊径,从代谢重编程的角度寻找答案。他们猜测:既然肝脏是人体最大的代谢器官,其纤维化过程必然会在血液中留下独特的"代谢指纹"。通过检测这些指纹,或许能绕过年龄干扰,直接读取纤维化的真实信号。
研究团队设计了三管齐下的技术路线:首先采用振动控制瞬时弹性成像(FibroScan)精确量化63例MASLD患者的肝纤维化程度;其次运用700 MHz核磁共振(NMR)平台一次性检测52种血清代谢物;最后整合13种炎症因子和19项血液学指标,构建包含84个特征的超级检测面板(IHMP)。通过机器学习算法对48例训练集数据进行635种组合测试,最终锁定谷氨酰胺(Gln)和丙酸盐(Prop)这对黄金组合。

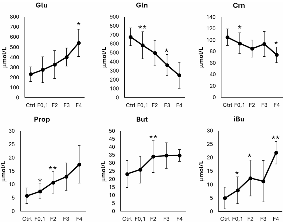
研究结果揭示三个重要发现:第一,在21种与纤维化独立相关的标志物中,Gln和Prop展现出最强的诊断潜力。如图1所示,随着纤维化加重,Gln水平持续下降而Prop稳步上升,这种"剪刀差"现象在F2阶段即显现统计学差异。第二,GP指数在验证集中的曲线下面积(AUC)达0.90,显著优于FIB-4(0.648)和FIB-3(0.556),特别是对中期纤维化的识别灵敏度提高67%。第三,机制研究表明,Gln的降低反映肝星状细胞激活后谷氨酰胺分解代谢(Glutaminolysis)增强,而Prop的升高则暗示肠道菌群失调通过肠-肝轴加剧纤维化进程。

这项研究的突破性在于首次实现"三重解码":生物学上,阐明Gln/Prop代谢轴在纤维化中的核心地位;方法学上,建立基于NMR的快速检测方案;临床上,提供无需年龄校正的普适性诊断工具。如图2所示,GP指数的动态变化完美匹配纤维化进展轨迹,这对疗效监测和预后评估具有重要价值。虽然研究存在样本量有限等局限,但其创新思路为代谢性肝病的精准诊疗开辟了新途径——就像为肝脏健康安装了一个不受年龄干扰的"代谢雷达"。
特别需要指出的是,GP指数的临床转化前景广阔。相较于需要复杂计算的FIB系列评分,GP指数仅需检测两个代谢物,在常规生化平台即可实施。正如通讯作者Daniel Oscar Cicero强调的:"这项发现的价值不仅在于诊断准确性,更在于它打破了年龄对肝病评估的束缚,让80岁老人的肝脏能和年轻人站在同一起跑线上接受公正评判。"该研究团队已着手开展多中心验证,未来或将成为MASLD管理指南的新标准。
生物通微信公众号
知名企业招聘