
-
生物通官微
陪你抓住生命科技
跳动的脉搏
电喷雾法制备固定化活性污泥微球优化及其在纤维素工业废水处理中的应用研究
【字体: 大 中 小 】 时间:2025年09月02日 来源:Scientific Reports 3.9
编辑推荐:
本研究针对纤维素工业废水高COD(化学需氧量)、悬浮物及浊度等问题,创新性地采用电喷雾技术制备海藻酸钠(Alginate)与聚乙烯醇(PVA)杂化微球固定活性污泥,通过响应面法(RSM)优化电压(0-12 kV)、聚合物-细胞悬液体积(1-3 mL)等参数,实现4天内COD去除率达74%(从6715降至1736 mg/L)。该成果为高污染工业废水处理提供了高效、稳定的生物固定化技术方案,发表于《Scientific Reports》。
纤维素工业的蓬勃发展带来了严重的废水污染问题,这类废水不仅流量大,还含有高浓度的化学需氧量(COD)、悬浮固体和令人头疼的浑浊度。传统处理方法往往捉襟见肘,而游离活性污泥虽有一定效果,却容易受到废水中毒性物质的"暗算"。科学家们灵机一动——何不给这些微生物"穿上防护服"?通过将活性污泥固定在聚合物微球中,既能保护微生物,又能提高处理效率。
这项发表在《Scientific Reports》的研究另辟蹊径,采用电喷雾(Electrospray)这项"黑科技"来制作微生物的"微型公寓"。与传统方法相比,电喷雾能精准控制微球尺寸在100-200μm范围,就像为微生物定制了精装修的"单身公寓",大大改善了它们的"居住环境"。研究团队来自伊朗沙希德·贝赫什提大学,他们精心设计了海藻酸钠和PVA两种"建材",通过响应面法(RSM)这个"智能设计软件"来优化建造参数。
关键技术包括:1)电喷雾制备固定化微球,调控电压(0-12 kV)控制粒径;2)采用中心复合设计(CCD)优化处理参数;3)从伊朗Mazandaran纤维素厂获取实际废水样本;4)标准方法测定COD等关键指标。
纤维素废水处理由游离细胞悬浮系统
研究首先测试了游离活性污泥的表现,4天内将COD从6715 mg/L降至2320 mg/L,去除率达65%。这个成绩虽然不错,但研究者们相信固定化技术能带来更大突破。
固定化活性污泥处理纤维素废水
当活性污泥住进海藻酸钠"公寓"后,表现更加亮眼。在6 kV电压、2 mL聚合物体积条件下,COD去除率飙升至78%。而PVA杂化材料的表现稍逊,最低仅40%去除率。
生物废水处理方差分析
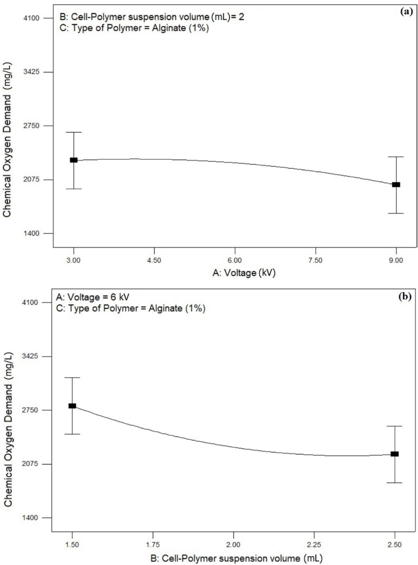
统计模型显示,聚合物-细胞悬液体积是影响处理效果的"关键先生"(p=0.0962),而电压与体积的交互作用尤为显著(p=0.0245)。这提示在实际应用中需要平衡"公寓"大小和"住户"密度。
主要变量对生物降解和COD去除的影响

电压升高使微球尺寸减小,但COD去除效果变化不大;而增加聚合物-细胞悬液体积则显著提升处理效果。海藻酸钠微球整体优于PVA杂化材料。
变量交互作用对COD去除的考察

在低悬液体积时,提高电压(减小微球尺寸)能改善处理效果;但在高悬液体积时,这种策略反而适得其反。这说明微生物的"居住密度"需要与"公寓面积"合理匹配。
这项研究最终确定的最佳方案是:3 kV电压、2.5 mL海藻酸钠悬液,可获得74%的COD去除率。验证实验证实模型预测准确,实际去除率达71%。研究不仅证实了电喷雾固定化技术的优势,更揭示了微球尺寸与细胞负载量的精妙平衡关系——就像为微生物设计住宅时,不能只追求小户型,还要考虑合理的容积率。
该成果为高浓度工业废水处理提供了新思路,特别是解决了传统固定化技术中质量传递受限的"卡脖子"难题。研究者特别指出,当无法制备小尺寸微球时,可以通过增加聚合物-细胞悬液体积来弥补,这种灵活的技术路线大大提升了实际应用的可行性。未来,这项技术有望在造纸、纺织等高污染行业大显身手,为绿水青山保驾护航。
生物通微信公众号
知名企业招聘