
-
生物通官微
陪你抓住生命科技
跳动的脉搏
膳食炎症指数与后验膳食模式对肺癌风险的联合作用:一项基于英国生物银行的前瞻性队列研究
【字体: 大 中 小 】 时间:2025年08月31日 来源:Scientific Reports 3.9
编辑推荐:
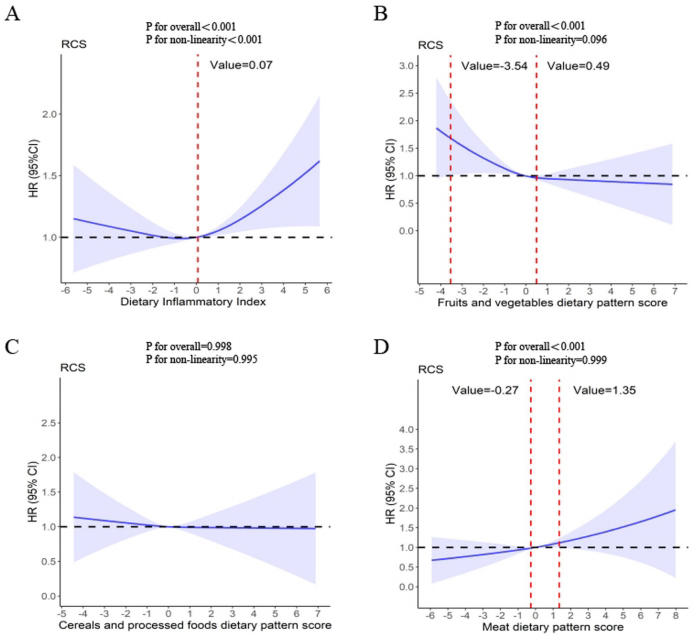
本研究针对肺癌预防中的关键饮食因素,通过结合先验膳食炎症指数(DII)与后验因子分析膳食模式,首次系统评估了膳食炎症潜力与特定饮食结构对肺癌风险的联合影响。基于英国生物银行189,561人队列数据,研究发现高DII评分使肺癌风险增加17%(HRT3 vs. T1:1.17),水果蔬菜模式可降低22%风险(HRT3 vs. T1:0.78),而肉类模式增加18%风险(HRT3 vs. T1:1.18),为肺癌营养干预提供了重要循证依据。
肺癌作为全球发病率和死亡率最高的恶性肿瘤,2022年新增病例达250万例,其中90%与吸烟相关,但仍有10%病例归因于其他因素。近年来,饮食因素在肺癌发生中的作用日益受到关注。传统研究多聚焦单一食物或营养素,而膳食模式分析能更全面反映饮食整体效应。膳食炎症指数(Dietary Inflammatory Index, DII)作为评估饮食炎症潜力的先验工具,虽在结直肠癌、乳腺癌中研究较多,但其与肺癌关联的研究仍存争议。同时,通过因子分析等统计方法获得的后验(a posteriori)膳食模式,能反映特定人群的独特饮食结构。将两种方法结合,有望更深入揭示饮食与肺癌风险的关联机制。
为解答这一科学问题,Qing Zhou等研究者利用英国生物银行(UK Biobank)大样本队列,开展了一项创新性研究。研究团队纳入189,561名完成至少1次24小时膳食回忆调查的参与者,通过计算包含28种食物参数的DII评分,同时采用因子分析提取出3种后验膳食模式。中位随访9.45年间共记录1041例肺癌事件,运用Cox比例风险模型分析各饮食指标与肺癌风险的关联。
关键技术方法包括:1) 基于24小时膳食回忆问卷(Oxford Web Q)获取206种食物摄入数据;2) 采用世界复合数据库标准化方法计算DII评分;3) 通过因子分析(varimax旋转)从15类食物组中提取主要膳食模式;4) 利用英国国家癌症登记系统追踪肺癌发病(ICD-10: C33-C34);5) 多变量Cox回归调整吸烟状况、BMI等混杂因素,并采用限制性立方样条分析剂量反应关系。
研究结果
参与者特征:肺癌患者平均年龄更大,男性、吸烟者、肥胖者比例更高,且多伴有肺气肿/慢性支气管炎病史。
膳食模式特征:因子分析识别出3种模式:1) 水果蔬菜模式(载荷>0.4:水果0.681、蔬菜土豆0.588);2) 谷物加工食品模式(谷物制品0.658、脂肪0.618);3) 肉类模式(肉类制品0.813)。DII与水果蔬菜模式呈中度负相关(r=-0.59)。
饮食指标与肺癌风险:
DII评分最高三分位组肺癌风险增加17%(HRT3 vs. T1:1.17; 95%CI:1.00-1.36)
水果蔬菜模式最高三分位组风险降低22%(HRT3 vs. T1:0.78; 95%CI:0.67-0.91)
肉类模式最高三分位组风险增加18%(HRT3 vs. T1:1.18; 95%CI:1.02-1.37)
谷物加工食品模式无显著关联

分层分析:在吸烟人群中,DII与肺癌风险的正向关联更显著(P交互=0.031),水果蔬菜模式的保护作用在戒烟者中最明显(HRT3 vs. T1:0.73)。
讨论与意义
本研究首次将先验DII与后验膳食模式相结合,揭示饮食炎症潜力与肺癌风险的明确关联。高DII饮食可能通过提升CRP、IL-6等促炎因子水平,激活JAK2/STAT3等致癌通路;而水果蔬菜中的抗氧化成分可抵消炎症效应。值得注意的是,肉类模式虽未与DII显著相关,但仍显示独立致癌风险,提示除炎症外可能存在杂环胺、亚硝酸盐等致癌机制。
研究创新性体现在:1) 采用英国生物银行大样本前瞻性数据,避免回忆偏倚;2) 通过因子分析揭示特定人群饮食结构特征;3) 首次证实水果蔬菜模式与低DII的协同保护效应。局限性包括24小时回忆法可能低估长期饮食变异,以及未测量炎症标志物进行机制验证。
该研究发表于《Scientific Reports》,为肺癌一级预防提供了重要循证依据:提倡增加水果蔬菜摄入的"抗炎饮食"模式,减少红肉及加工食品消费,尤其对吸烟高危人群具有重要公共卫生意义。未来研究可结合代谢组学进一步阐明饮食-炎症-肺癌的分子机制。
生物通微信公众号
知名企业招聘