
-
生物通官微
陪你抓住生命科技
跳动的脉搏
谷胱甘肽(GSH)对2,4-二氯苯氧乙酸(2,4-D)毒性的调控作用及其在癌症预防中的潜在意义
【字体: 大 中 小 】 时间:2025年08月14日 来源:Scientific Reports 3.9
编辑推荐:
本研究针对全球广泛使用的除草剂2,4-D的环境残留与健康风险,通过微生物模型(E. hormaechei、C. albicans)和基因毒性生物传感器(E. coli recA:luxCDABE),首次揭示GSH通过降低氧化应激(ROS)显著缓解2,4-D的毒性(抗菌活性降低7-16%)和基因毒性(抑制44%),为农药暴露人群的膳食干预(如补充GSH)提供科学依据。研究发表于《Scientific Reports》,对癌症预防策略具有重要启示。
在农业和园艺领域,2,4-二氯苯氧乙酸(2,4-D)作为最常用的氯代芳香烃除草剂之一,每年以数千吨的规模被使用。然而,其环境残留和代谢产物通过食物链进入人体,与淋巴系统癌症和前列腺癌风险显著相关。世界卫生组织国际癌症研究机构(IARC)已将其列为2B类致癌物。更令人担忧的是,欧洲环境署报告显示,25%的地表水样本中农药含量超标,而2,4-D因其半衰期长达300天且水溶性高,成为持续性污染物。面对这一公共卫生挑战,比亚韦斯托克理工大学(Bialystok University of Technology)的研究团队提出关键科学问题:能否通过天然抗氧化剂谷胱甘肽(GSH)缓解2,4-D的毒性效应?
研究人员采用多维度实验设计:通过抗菌实验(Enterobacter hormaechei和Candida albicans)评估毒性,利用基因毒性生物传感器(E. coli RFM443 recA:luxCDABE)检测DNA损伤,结合ROS测定揭示氧化应激机制,并采用酵母雌激素/雄激素筛选(YES/YAS)评估内分泌干扰潜力。所有实验均设置三组独立重复(n=3),关键发现发表于《Scientific Reports》。
研究团队构建了微生物毒性评价体系(24/48小时培养),通过发光细菌传感器定量基因毒性(2/24小时诱导监测),采用DCFH-DA荧光法测定ROS水平,并利用转基因酵母(S. cerevisiae)模型分析2,4-D对hERα和hAR受体的结合活性。
1. 2,4-D及与GSH混合物的抗菌活性
2,4-D在100 mg/L时对C. albicans抑制率达76.4%,高于E. hormaechei(40%)。
GSH(1 mg/L)使2,4-D(100 mg/L)毒性降低16.8%,但在低浓度(0.01 mg/L)反增6%,呈现"双刃剑"效应。
2. 基因毒性测定
2,4-D(100 mg/L)诱导recA启动子活性达160%,GSH混合后降低44%。
标准品萘啶酸(NA)的基因毒性被GSH抑制18%,效果弱于2,4-D。
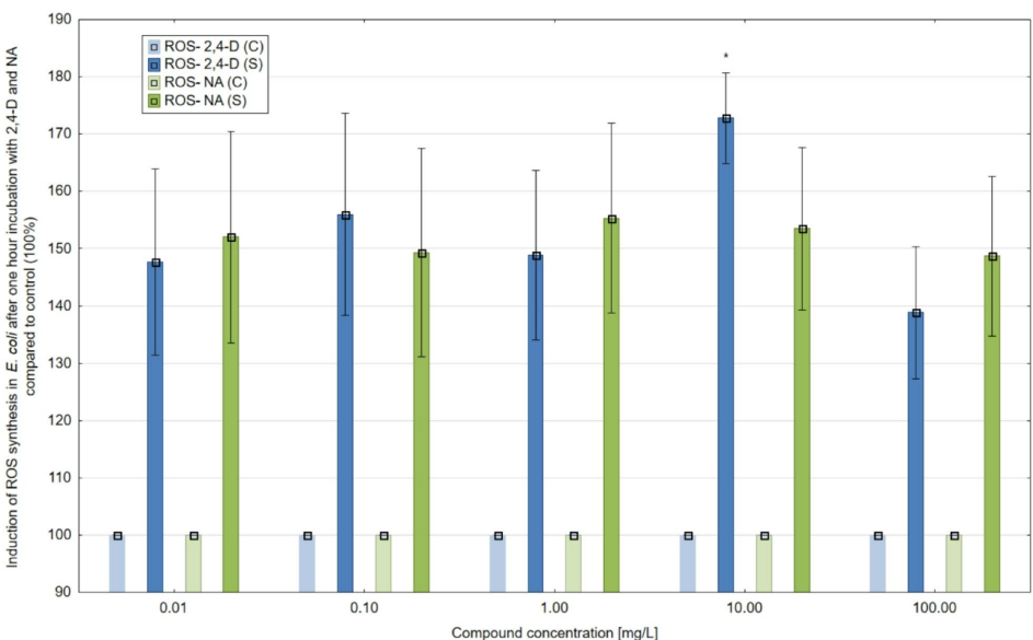
3. 氧化应激机制

2,4-D(10 mg/L)刺激ROS生成170%,证实氧化应激是其毒性核心机制。
4. 内分泌干扰评估
YES/YAS实验显示2,4-D在0.00001-100 mg/L范围内无雌激素/雄激素活性,排除其直接内分泌干扰作用。
该研究首次系统阐明:
毒性机制:2,4-D通过ROS过度生成引发DNA损伤(8-OHdG标志物),这与农民尿液中发现的氧化损伤生物标志物数据吻合。
防护策略:GSH通过清除自由基和修复氧化损伤,显著降低2,4-D的基因毒性,为富含GSH食物(如十字花科蔬菜)的防癌作用提供实验依据。
公共卫生启示:针对农药污染严重的地区(如巴西地表水2,4-D浓度达366 μg/L),建议将GSH补充纳入职业暴露防护指南。
值得注意的是,GSH在特定条件下的促氧化现象(如低浓度2,4-D混合时毒性增强)提示其"两面性",这与癌症细胞中GSH代谢异常的研究相呼应。该成果为环境毒理学和营养干预的交叉研究开辟了新视角。
生物通微信公众号
知名企业招聘