
-
生物通官微
陪你抓住生命科技
跳动的脉搏
金黄色葡萄球菌血流感染住院死亡率预测列线图的构建与验证
【字体: 大 中 小 】 时间:2025年08月14日 来源:Scientific Reports 3.9
编辑推荐:
本研究针对金黄色葡萄球菌(Staphylococcus aureus, S. aureus)血流感染(BSI)预后评估难题,通过10年回顾性队列分析484例患者数据,创新性地将早期临床失败标准(ECFC)评分与Charlson合并症指数(CCI)、降钙素原(PCT)等指标整合,构建了精准预测住院死亡率的列线图模型。内部验证平均AUC达0.930,外部验证AUC 0.929,为临床早期风险分层提供了可视化工具。
金黄色葡萄球菌(Staphylococcus aureus)作为临床最常见的革兰阳性菌,其引发的血流感染(BSI)一直是全球公共卫生的重大挑战。中国抗菌药物耐药监测系统数据显示,2014-2019年间该菌分离率从8.7%攀升至9.6%,其中耐甲氧西林金黄色葡萄球菌(MRSA)的出现更使治疗雪上加霜。尽管抗生素使用率高达98%,但患者死亡率仍维持在23.55%的高位,凸显出现有预后评估工具的局限性。
福建医科大学漳州附属医院的研究团队创新性地将早期临床失败标准(ECFC)评分这一原用于革阴性菌感染的预测体系,首次拓展应用于金黄色葡萄球菌BSI预后评估。通过分析2014-2023年间484例患者数据,研究人员构建了包含ECFC评分、Charlson合并症指数(CCI)、降钙素原(PCT)水平、ICU入住和多微生物BSI五大参数的列线图模型。
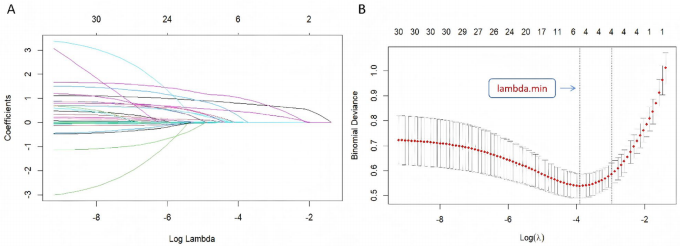
研究采用三步法技术路线:首先通过最小绝对收缩选择算子(LASSO)回归从32个候选变量中筛选关键指标;随后采用多因素逻辑回归(MLR)确定最终预测因子;最后通过400次5折交叉验证和独立队列验证模型效能。特别值得注意的是,ECFC评分作为核心变量,其每增加1分可使死亡风险提升2.58倍(95%CI 1.82-3.67)。
主要研究结果
基本临床特征
纳入患者中65.29%为男性,中位年龄61岁。训练队列(n=339)与验证队列(n=145)在ECFC评分(中位数1.0)等基线特征上均衡可比,但验证队列CCI评分(4.0 vs 3.0)和PCT水平(2.19 vs 1.59 ng/mL)更高,更接近真实世界重症患者分布。
预测因子筛选
LASSO回归筛选出5个非零系数变量:

模型构建与验证
最终列线图显示,1例ECFC评分4分、CCI评分2分的ICU患者,其PCT达200ng/mL时,死亡概率高达95.4%:

校准曲线和决策曲线分析(DCA)证实模型具有优秀的一致性和临床适用性:


这项研究突破性地证实ECFC评分在革兰阳性菌感染中的预测价值,其创新性体现在三方面:首次将ECFC评分应用于金黄色葡萄球菌BSI预后评估;采用时序验证而非常规随机分组增强模型外推性;开发动态列线图(https://xiexiangquan219628.shinyapps.io/dynamicnomogram/)实现临床即时计算。尽管存在单中心研究的局限性,但该模型为重症感染患者的精准化管理提供了重要决策工具,未来可通过多中心研究进一步验证其普适性。论文发表于《Scientific Reports》,为感染性疾病预后研究提供了新范式。
生物通微信公众号
知名企业招聘