
-
生物通官微
陪你抓住生命科技
跳动的脉搏
基于金属富勒烯Y2@C79N分子自旋传感器原位监测芳香材料结晶行为与相变
【字体: 大 中 小 】 时间:2025年08月05日 来源:Nature Communications 15.7
编辑推荐:
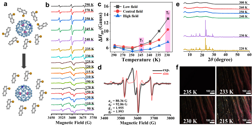
研究人员开发了一种基于Y2@C79N的分子自旋传感器,通过电子顺磁共振(EPR)技术实现了对1-氯萘和液晶5CB等芳香材料结晶过程及相变的高精度原位监测。该研究揭示了结晶诱导的富勒烯分子取向机制,为材料相变研究提供了新型分子尺度分析工具。
在材料科学领域,精确监测分子尺度相变过程一直是重大挑战。传统X射线衍射(XRD)等技术难以捕捉轻元素(C/H/O)的取向变化,而液晶材料5CB的多级相变机制也缺乏高灵敏度探测手段。北京理工大学的研究团队在《Nature Communications》发表突破性成果,利用内嵌金属富勒烯Y2@C79N的独特量子特性,开发出可原位监测芳香材料结晶行为的分子自旋传感器。
研究采用电子顺磁共振(EPR)作为核心技术,结合变温XRD和偏光显微镜(POM)验证,通过密度泛函理论(DFT)和分子动力学(MD)模拟阐明机制。团队选取1-氯萘和液晶5CB作为模型体系,系统分析了Y2@C79N在相变过程中的EPR信号演变。
分子自旋传感器对1-氯萘的监测
研究发现Y2@C79N在1-氯萘中呈现两个关键转变点:245K时信号强度达峰(对应熔点),230K出现轴对称EPR信号(对应结晶起始)。通过

液晶5CB的多级相变解析
对5CB体系,EPR检测到三个特征转变:290K(向列相-晶相)、270K(C2→C1b相)、225K(C1b→C1a相)。

理论计算揭示作用机制
DFT优化显示,Y2@C79N的氮原子优先靠近5CB苯环(距离3.44?),

这项研究开创性地将内嵌金属富勒烯的量子特性应用于材料相变监测,其分子尺度的探测灵敏度显著优于传统表征手段。特别在液晶材料多级相变解析方面,Y2@C79N传感器可穿透晶格实现原位检测,为有机光电材料、功能液晶器件的开发提供了革命性分析工具。该成果不仅拓展了富勒烯在量子传感领域的应用边界,也为分子自旋器件的设计提供了新范式。
生物通微信公众号
知名企业招聘