
-
生物通官微
陪你抓住生命科技
跳动的脉搏
水热生物炭显著改变饲用燕麦生长及根际微生物群落:盐碱地可持续农业的新策略
【字体: 大 中 小 】 时间:2025年08月02日 来源:iScience 4.1
编辑推荐:
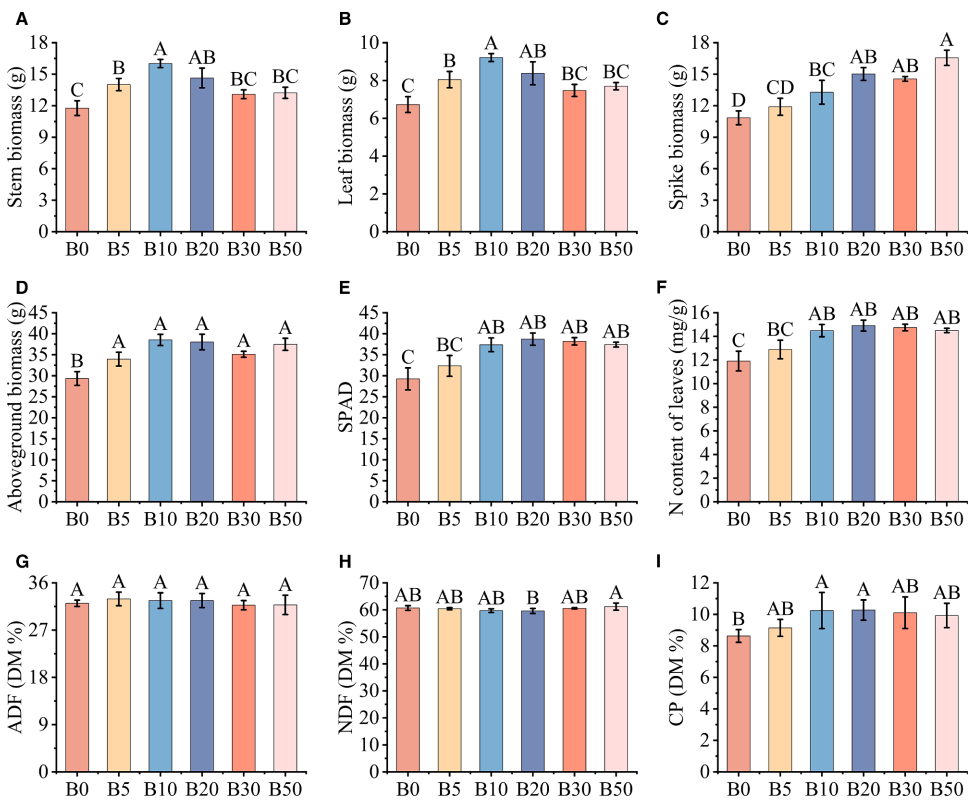
本研究针对盐碱地退化与饲草供应不足问题,通过添加不同剂量水热生物炭(HTC),系统评估其对饲用燕麦生长、土壤性质及根际微生物群落的影响。结果表明10 t/ha生物炭可最优提升燕麦生物量36%、粗蛋白(CP)含量10.24%,并重塑微生物功能(如促进芳香化合物降解和氮循环)。该研究为盐碱地改良与生态农业提供了科学依据。
在全球土壤盐碱化加剧与畜牧业需求增长的双重压力下,如何提升盐碱地生产力成为农业科学的重要命题。传统热解生物炭因碱性特性可能加剧盐碱地pH值升高,而水热碳化法(Hydrothermal carbonization, HTC)制备的生物炭因其酸性官能团和低矿质含量,展现出独特的改良潜力。内蒙古农业大学草地资源教育部重点实验室的研究团队在《iScience》发表的研究,首次系统揭示了水热生物炭对饲用燕麦(Avena sativa L.)生长及根际微生态的调控机制。
研究采用盆栽实验,设置0-50 t/ha六个生物炭梯度,通过测定植物生理指标(SPAD、生物量)、土壤理化性质(C/N比)及高通量测序(16S rRNA和ITS)等技术,解析了生物炭-植物-微生物互作网络。关键发现包括:10 t/ha生物炭使燕麦地上生物量提升29.64%,叶片氮含量增加25.2%,同时根际土壤C/N比从14.49升至22.31;过量施用(50 t/ha)则导致细菌多样性显著降低,但真菌群落稳定性增强。微生物功能预测显示,适量生物炭促进氮呼吸(nitrogen_respiration)等过程,而高剂量抑制固氮作用(nitrogen_fixation)达76.42%。
关键方法
盆栽实验设计:采用盐碱土(pH 7.9)与玉米秸秆源水热生物炭(pH 6.5)混合,设置6个梯度组
植物生理分析:SPAD-502 Plus测定叶绿素,凯氏定氮法测CP,ANCOM系统测纤维含量
土壤微生物组学:FastDNA? Spin Kit提取DNA,Illumina MiSeq平台测序(V3-V4和ITS区)
功能预测:FAPROTAX和FUNGuild数据库分析微生物功能群
研究结果
生物炭对燕麦生长的剂量效应

10 t/ha组茎叶生物量达峰值(16.02 g和9.21 g),50 t/ha组穗生物量最高(16.56 g)。SPAD值在20 t/ha最优(38.71),CP含量在10-20 t/ha组显著高于对照(p<0.05),而ADF/NDF无显著变化。
根际土壤碳氮动态

C含量和C/N比随生物炭剂量线性上升(50 t/ha时C含量翻倍),N含量在30-50 t/ha组显著增加(0.084% vs 对照0.067%)。
微生物群落重构

细菌中Patescibacteria在50 t/ha组占比激增(22.93% vs 对照2.46%),真菌中子囊菌门(Ascomycota)占主导(77.66%-90.87%)。LEfSe分析显示,30 t/ha组富集昆虫病原菌Metarhizium,而50 t/ha组出现植物病原菌Alternaria。
网络分析揭示生态策略

细菌网络复杂度随生物炭增加而降低(B0平均度最高),真菌则相反。20 t/ha组细菌模块枢纽(module hubs)达15个,提示功能分化。
结论与意义
该研究证实水热生物炭通过三重机制提升盐碱地生产力:(1)酸性官能团中和土壤碱性;(2)多孔结构增强水分养分保持;(3)调控微生物功能(如抑制反硝化(denitrification)减少氮损失)。10 t/ha为最优剂量,过量使用可能导致病原菌增殖。研究为"生物炭-耐盐牧草-微生物"协同改良模式提供了理论支撑,对实现《巴黎协定》农业减排目标具有潜在贡献。未来需关注大田条件下生物炭的长期效应及与减氮施肥的协同优化。
生物通微信公众号
知名企业招聘