
-
生物通官微
陪你抓住生命科技
跳动的脉搏
银杉枯木形态差异对山地森林微生物多样性及养分循环的影响机制研究
【字体: 大 中 小 】 时间:2025年08月02日 来源:Annals of Forest Science 2.7
编辑推荐:
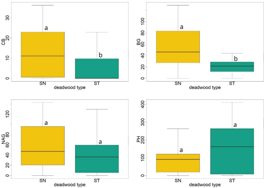
本研究针对山地银杉(Abies alba Mill.)林中树桩(stumps)与枯立木(snags)的生态功能差异问题,通过比较其理化性质、酶活性及微生物群落结构,揭示了二者在促进生物多样性和养分循环中的独特作用。研究发现枯立木纤维素降解酶(CB、BG)活性显著高于树桩,而树桩细菌多样性指数(Mb、Hb)更优,证实了死wood形态通过微环境差异驱动微生物群落分异,为山地森林生态系统管理提供了科学依据。论文发表于《Annals of Forest Science》。
森林生态系统中,枯死的树木并非"生命的终点",而是孕育新生的特殊栖息地。在波兰巴比亚古什国家公园的银杉林中,那些低矮的树桩(stumps)与挺立的枯立木(snags)看似只是死亡树木的不同形态,实则暗藏着驱动生态系统物质循环的密码。以往研究多关注倒木(logs)的生态功能,而对垂直结构的树桩与枯立木的差异认识不足,这限制了人们对森林碳氮循环机制的全面理解。克拉科夫农业大学(University of Agriculture in Krakow)的研究团队通过比较这两种死wood的"生命密码",揭示了它们在维系山地森林生态平衡中的独特价值。
研究采用多学科交叉方法:1) 选取15对腐烂程度相近的树桩与枯立木样本;2) 测定pH、碳(C)、氮(N)、磷(P)等理化指标;3) 荧光法分析β-葡萄糖苷酶(BG)等6种胞外酶活性;4) 基于Illumina MiSeq平台的ITS1和16S rRNA高通量测序(NGS)解析微生物群落;5) 通过PCA分析环境因子与微生物的关联性。
化学性质差异塑造分解微环境
树桩展现出显著更高的氮(0.97% vs 0.58%)和磷(420.7 vs 217.4 mg/kg)含量,但碳含量更低(44.0% vs 49.3%)。这种差异源于树桩与土壤的直接接触,促进了养分交换。特别值得注意的是,树桩的碳氮比(C/N)显著低于枯立木(62.3 vs 107.6),这为后续微生物群落分异埋下伏笔。
酶活性揭示功能分异

微生物王国的大数据图谱

这项研究首次系统比较了山地银杉林中树桩与枯立木的生态功能差异。枯立木凭借稳定的微环境成为纤维素降解的"高效工厂",而树桩则通过与土壤的紧密联系,演化成养分循环的"中转站"。研究不仅填补了垂直结构死wood研究的空白,更启示森林管理者:保护死wood形态多样性对维持森林微生物"暗多样性"至关重要。未来研究可进一步追踪昆虫与微生物的互作网络,为山地森林的可持续经营提供更精准的科学依据。
生物通微信公众号
知名企业招聘