
-
生物通官微
陪你抓住生命科技
跳动的脉搏
生物刺激剂与豆科间作协同提升草莓产量品质及根际微生态的机制研究
【字体: 大 中 小 】 时间:2025年08月02日 来源:BMC Plant Biology 4.8
编辑推荐:
针对传统农业导致的土壤退化及草莓生产过度依赖化肥问题,研究人员通过两年田间试验,探究Ghan-jeevamrit和Jeevamrit等自然农业生物制剂对间作草莓生长、产量及根际微生物群落的影响。结果表明T3处理(Ghan-jeevamrit 2.5 kg/m2+Jeevamrit 2.0 L/m2)显著提升果实产量13.58%,并促进AMF(丛枝菌根真菌)和脱氢酶活性。该研究为可持续草莓栽培提供了经济环保的解决方案。
传统农业长期依赖化肥农药,导致土壤退化、生物多样性下降和农产品质量降低等问题日益突出。草莓作为高经济价值作物,其浅根系特性对养分管理要求极高,而化学肥料的不合理使用更会引发环境污染物在果实中的积累风险。面对这些挑战,可持续农业模式成为全球关注焦点,其中印度学者Subhash Palekar提出的"自然农业(Natural Farming, NF)"体系,通过牛粪尿衍生的生物制剂和豆科间作等生态措施,展现出改善土壤健康和作物品质的潜力。
印度园艺与林业大学(Dr YS Parmar University of Horticulture and Forestry)的研究团队以'甜查理'草莓为材料,在两年田间试验中系统评估了Ghan-jeevamrit(固态生物制剂)和Jeevamrit(液态微生物培养物)等NF输入对草莓生产性能和根际微环境的影响。研究发现,生物刺激剂与芫荽-葫芦巴间作系统的协同作用,不仅能提高草莓产量和品质,还能显著改善土壤微生物群落结构。相关成果发表在《BMC Plant Biology》,为生态友好型草莓栽培提供了重要理论依据和实践方案。
研究采用随机区组设计,主要技术方法包括:(1)设置6种处理组合对比传统粪肥;(2)测定生长指标和果实品质参数;(3)分析土壤化学性质及酶活性;(4)通过平板计数法评估微生物种群;(5)运用湿筛法量化AMF孢子;(6)采用主成分分析(PCA)解析关键影响因素。所有试验均在印度索兰(Solan)的自然农场进行,土壤为砂质粘壤土,草莓与芫荽-葫芦巴采用30×60 cm间距间作。
生产参数分析
生物刺激剂组合显著提升草莓农艺性状,T3处理使叶面积增加11.2%,单株花数达62.67个。通过

土壤特性改良
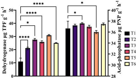
T3处理使土壤有机碳提升22.7%,有效磷达34.80 kg/ha。如表2所示,DTPA提取的微量养分中,铁(50.70 ppm)和铜(1.03 ppm)含量显著增加。微生物代谢活动增强直接反映在脱氢酶(DHA)和酸性磷酸酶(AcP)活性上,

微生物群落动态
如图2所示,

间作系统效益
芫荽和葫芦巴的间作贡献显著,T3处理下单产分别达2312 g/plot和683.9 g/plot。如图4所示,

该研究证实,Ghan-jeevamrit(含磷溶解菌的脉冲粉)与Jeevamrit(含固氮菌和放线菌)的联合应用,通过三重机制提升系统生产力:(1)激活土壤酶系加速养分矿化;(2)构建多样化微生物群落抑制病原菌;(3)优化碳氮比促进光合产物分配。这种模式使草莓生产摆脱对化肥的依赖,同时降低43%的生产成本,为小农户提供切实可行的生态转型方案。研究创新性地将传统农业智慧与现代微生物组学结合,为全球可持续园艺发展提供了重要范式。未来研究可进一步解析根际微生物组的功能基因网络,优化生物制剂配方以适应不同生态区需求。
生物通微信公众号
知名企业招聘