
-
生物通官微
陪你抓住生命科技
跳动的脉搏
Al2O3纳米晶体交联枯草芽孢杆菌酪氨酸羟化酶增强L-多巴合成催化稳定性的机制研究
【字体: 大 中 小 】 时间:2025年07月29日 来源:World Journal of Microbiology and Biotechnology 4
编辑推荐:
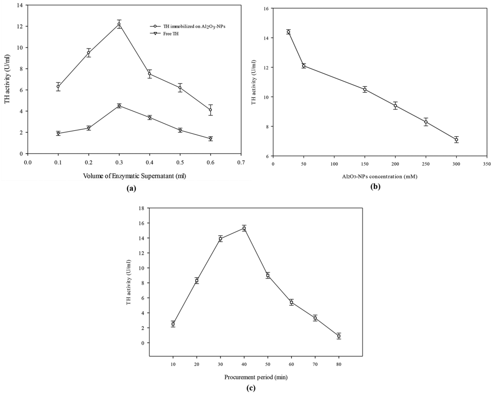
本研究针对帕金森病治疗药物L-多巴工业化生产中的酶稳定性难题,通过将枯草芽孢杆菌SDSC-Env-i6来源的酪氨酸羟化酶(TH)与Al2O3纳米颗粒交联,使酶活性提升至15.3±0.05 U/mL(游离酶仅5.5 U/mL),L-多巴产量达1.105 mg/mL,为生物催化法替代化学合成提供了新策略。
帕金森病作为第二大神经退行性疾病,全球患者中65岁以上人群占比达2-3%,其核心病理是脑内多巴胺缺乏。虽然L-多巴作为"金标准"药物能穿越血脑屏障转化为多巴胺,但传统化学合成法存在反应条件苛刻、对映选择性差等问题,年需求量250公吨的市场亟需更高效的生物制备方案。面对微生物法下游处理复杂、游离酪氨酸羟化酶(TH)稳定性差等瓶颈,拉合尔政府学院大学微生物学系(Government College University Lahore)的研究团队创新性地将枯草芽孢杆菌SDSC-Env-i6来源的TH与Al2O3纳米晶体交联,相关成果发表于《World Journal of Microbiology and Biotechnology》。
研究采用紫外光谱、FTIR、XRD和SEM表征纳米复合材料,通过阿诺法(Arnow)测定L-多巴产量,并利用Lineweaver-Burk双倒数图计算酶动力学参数。关键实验包括:枯草芽孢杆菌发酵诱导TH表达、CaCl2/CuCl2优化催化效率、Al2O3-NPs浓度梯度交联实验,以及多巴脱羧酶抑制剂(benserazide/carbidopa)的协同效应测试。
在35°C和65°C分别使用benserazide与carbidopa时,多巴脱羧酶(AAA decarboxylase)活性降至0.061±0.01μmol和0.093±0.05μmol。TH活性在30°C达峰值(6.2±0.01 U/mL),比carbidopa组高1.3倍,证实温度与抑制剂协同调控酶活性的规律。

在pH6.5、48小时培养条件下,细胞收获量50mL时L-多巴产量达1.105±0.007mg/mL。固定化酶的Km值降至2.97×10-5 M-1,转换数Kcat高达1.48×1018 s-1,且重复使用5次后仍保留71.88%活性。
该研究通过纳米材料工程策略,将TH的催化效率提升至游离酶的5倍,解决了工业应用中酶易失活、回收困难等核心问题。特别是Al2O3载体展现出的生物相容性与化学稳定性,为规模化生产L-多巴提供了可靠技术路径。Areesha Batool等学者开发的这种纳米生物催化剂,不仅降低了帕金森病治疗药物的生产成本,也为其他神经退行性疾病的酶疗法研究提供了范式。
生物通微信公众号
知名企业招聘