
-
生物通官微
陪你抓住生命科技
跳动的脉搏
视神经炎与心力衰竭及心房颤动风险关联的全国性队列研究
《PNAS Nexus》:Optic neuritis and risk of heart failure and atrial fibrillation: A nationwide cohort study
【字体: 大 中 小 】 时间:2025年12月02日 来源:PNAS Nexus 3.8
编辑推荐:
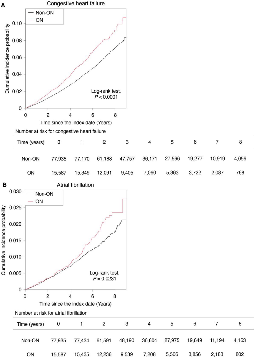
本研究基于韩国国民健康保险服务数据库,通过对15,587例新发视神经炎(ON)患者及77,935名匹配对照的回顾性分析,首次证实ON是充血性心力衰竭(CHF)和心房颤动(AF)的独立危险因素。经过平均4年随访和多变量调整后,ON患者发生CHF和AF的风险分别增加34.1%(HR=1.341)和21.5%(HR=1.215),尤其在50岁以下人群和低收入群体中关联更为显著。该发现揭示了自身免疫过程在心血管疾病发病中的作用,为ON患者的早期心血管评估提供了重要依据。


生物通微信公众号
知名企业招聘