
-
生物通官微
陪你抓住生命科技
跳动的脉搏
肝硬化患者门静脉血氨均匀分布新发现:左右分支无显著差异挑战传统TIPS术后肝性脑病发病机制假说
【字体: 大 中 小 】 时间:2025年10月02日 来源:Scientific Reports 3.9
编辑推荐:
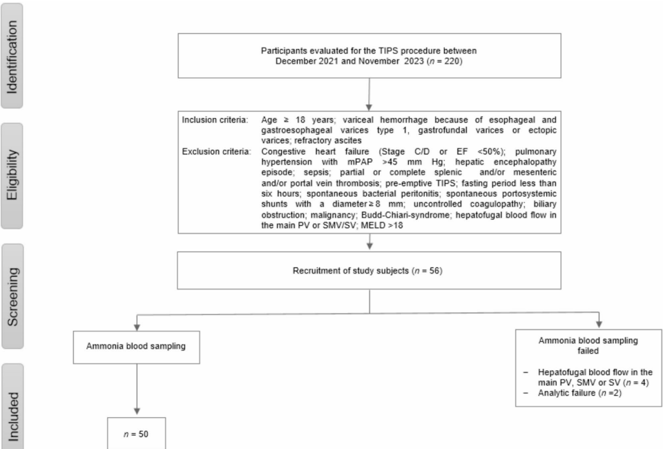
【编辑推荐】为探究左、右分支TIPS术后肝性脑病(HE)发生率差异是否源于门静脉血氨分布不均,本研究前瞻性测定50例肝硬化患者空腹状态下5个门静脉与内脏静脉位点血氨浓度。发现尽管肠系膜上静脉(SMV)血氨显著高于脾静脉(SV)(p<0.001),但右门静脉(RPV)与左门静脉(LPV)血氨浓度等效(p=0.008),平均差异仅2.8%。结果表明血氨分布均匀性否定了"分流路径选择"假说,为HE机制研究提供了新方向。




生物通微信公众号
知名企业招聘