
-
生物通官微
陪你抓住生命科技
跳动的脉搏
CT定位像(scout view)在CT引导介入术中作为辅助工具的潜力评估:一项基于体模的系统性研究
【字体: 大 中 小 】 时间:2025年10月02日 来源:Scientific Reports 3.9
编辑推荐:
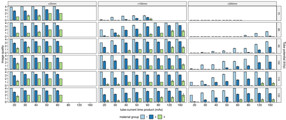
为解决CT引导介入术中实时可视化需求与辐射暴露的矛盾,本研究系统评估了利用CT定位像(scout view)实现类透视成像的可行性。研究发现,通过优化扫描参数(如≥80kVp/≥60mAs),可在常规至超重患者中清晰显示介入器械(如活检针、导丝),为对比剂注射和器械操作提供实时监控,显著降低辐射剂量。该技术为CT介入提供了新型辅助工具。





生物通微信公众号
知名企业招聘