热点关注 | Takara 高效基因改造解决方案助力T细胞研究
肿瘤,在这个信息化时代,相信我们每个人都不陌生。
肿瘤已成为目前严重威胁人类健康的疾病。根据世界卫生组织国际癌症研究机构(IARC)发布的2020年全球癌症负担数据,2020年全球新发癌症病例1929万例,其中中国新发癌症457万人,占全球的23.7%。全球癌症死亡病例996万例,其中中国癌症死亡人数300万,占癌症死亡总人数30%。我国已经成为癌症发病和死亡的大国。
庆幸,我们生活在一个生命科学高速蓬勃发展的时代。
纵使战胜肿瘤还有很远的路要走,但是人们攻克肿瘤的脚步却从未停歇。近年来,肿瘤免疫治疗备受关注,尤其使用转基因T细胞(T淋巴细胞)来靶向治疗肿瘤是一种很有前景的方法,特别是对于难以使用传统方法来治疗的肿瘤。在T细胞治疗中最为常见的两种方法围绕着在基因工程T细胞中引入新的T细胞受体(TCR)或嵌合抗原受体(CAR)(Humphries 2013)来开展,也就是TCR-T疗法和CAR-T疗法。
重磅,2021年两款CAR-T疗法相继在中国获得国家药品监督管理局(NMPA)批准上市,分别是复星凯特公司的Yescarta和药明巨诺的Relma-cel,为治疗大B 细胞淋巴瘤提供了新选择。到目前为止,全球已有6款CAR-T疗法获批上市。
持续发力,CAR-T疗法在血液瘤治疗领域大显身手,效果卓著;与CAR-T疗法同样备受关注的TCR-T疗法,虽然目前仍处在试验阶段,国内外尚未有相关产品上市。然而,TCR-T疗法在实体瘤的治疗方面已经展示了良好的安全性和有效性,是目前更有可能在实体瘤取得突破进展的T细胞免疫疗法。
siTCR™载体技术是Takara Bio开发的一种T细胞改造方法。这项siTCR™载体技术可以更大限度减少内源性TCR的参与,获得更多表达外源性TCR的T淋巴细胞。这项技术的应用被认为可以降低所回输的基因工程T细胞的副作用风险,提高疗效。
多年来,Takara Bio一直致力于siTCR™基因疗法的开发。Takara Bio与大冢制药株式会社合作,正在日本进行一项针对滑膜肉瘤的NY-ESO-1 siTCR™基因疗法的I/II期临床试验。与此同时,Takara Bio目前还与日本三重大学和加拿大玛格丽特公主癌症中心合作推动siTCR™基因疗法的临床发展。MAGE-A4抗原特异性siTCR™疗法I期临床试验(研究者发起的试验)正在进行中,这种疗法主要针对食管瘤等实体瘤的治疗。此外,研究者发起的针对实体瘤的NY-ESO-1 siTCR™基因疗法临床试验正在加拿大进行。
T细胞免疫治疗研究未来可期,CAR-T疗法在国内的获批上市,让大家对T细胞免疫治疗有了更高更长远的期待,希望将来有更多的疗法上市,惠及更多患者。在TCR-T疗法和CAR-T疗法中,TCR-T和CAR-T细胞制备是核心也是关键,因此T细胞高效基因改造环节值得关注。
在T细胞改造方面,我们可以为您提供较为完善的解决方案,助力T细胞研究。

SMARTer RACE 5’/3’Kit使用SMARTer技术进行RACE (Rapid amplification of cDNA ends),无需接头连接即可合成cDNA。
所合成的cDNA可直接用于5’ RACE PCR或者3’ RACE PCR,因此抗体可变区等可通过简便的操作流程来进行克隆。该方法已在T细胞治疗中有所应用,并且在T细胞/B细胞相关研究中的使用频率也越来越高。
In-Fusion HD Cloning Plus技术通过加速抗原及CAR载体的构建,加速了T细胞基因改造流程。In-Fusion HD克隆:快速 (15 min), 高效(克隆效率>95%), 无序列依赖 (任何PCR插入片段都可以克隆到任意载体的任意位点), 无缝(靶标抗体不会加入任何额外碱基对或者氨基酸), 定向, 高通量(HTP)。
由于高克隆效率和高准确度,多项研究中使用In-Fusion HD克隆技术进行抗体片段高通量克隆(Spidel et al. 2016; Chen et al. 2014; Meng et al. 2015)。
如大家所知,慢病毒载体是目前过继性T细胞治疗研究中所使用的主要基因导入平台。为了将TCR/CAR基因有效引入T淋巴细胞中,高转导效率是至关重要的。然而,典型的低转导效率和T细胞扩增速率一直都是大难题。
高病毒滴度无疑是获得高基因导入效率的开端。
目前市面上主要是第三代和第四代慢病毒包装系统。我们的第四代慢病毒包装系统很有技术亮点。这款包装系统Tet-Off和Tat反式激活因子驱动病毒必需成分高水平表达,诱导级联表达反应,从而可以制备出高滴度慢病毒,VSV-G型包装系统病毒滴度可达到107–108 IFU/ml。另外,pol基因与vpr基因的融合可以确保反转录酶/整合酶蛋白质能够转运到重组慢病毒颗粒中。而在第三代慢病毒包装系统中,通常gag和pol序列是不分离的,也没有使用反式激活级联机制。这款包装系统采用了预混冻干粉形式,使用方便,还在很大程度上可降低操作误差。
合适且稳定的病毒滴度是慢病毒成功转导的关键因素。
成功制备出重组慢病毒后,了解所制备病毒液中的病毒粒子数或者感染单位,无疑是很重要的,因为它在很大程度上决定了靶细胞转导效率(也就是有多少病毒进入同一个细胞),从而决定了转导靶细胞中整合的基因拷贝数。Lenti-X p24 Rapid Titer Kit基于ELISA方法而开发,特异性检测慢病毒上清液中的p24衣壳蛋白质,快速测定慢病毒滴度。这是目前广受欢迎的一种慢病毒滴度测定方法。Lenti-X GoStix Plus以智能手机作为数据读取和分析工具,在10分钟内定量测定重组慢病毒滴度,而不需要购买检测仪器,是一种更快速更智能化的测定方案。
实现高基因导入效率,更高的T细胞转导效率至关重要。
RetroNectin是一种重组人纤维连接蛋白片段,它不仅可以用于增强病毒转导,还对幼稚T细胞群有扩增作用,而且与常用的转导增强剂(比如聚凝胺和鱼精蛋白)相比,对细胞的毒性更低。在经RetroNectin包被的培养容器表面,细胞与慢病毒或者逆转录病毒以高浓度共存,可以将转导效率提高30%-70%。另外RetroNectin 还可以刺激淋巴细胞,使其获得上千倍的增殖。Takara Bio已向美国FDA提交了RetroNectin GMP级试剂的药品主文件(DMF application number 18898),并拥有RetroNectin技术的全球独家使用权。这款试剂已在全球44个机构中用于超过68种基因治疗临床试验方案。

除了慢病毒载体外,CRISPR/Cas9基因组编辑技术作为一种非病毒载体转导方式,在T细胞治疗研究中也展现出巨大潜力。早在2018年《Nature》杂志上发表了一项突破性的研究,Alexander Marson教授和他的同事描述了一种高效的T细胞改造方法,通过共电转的方式将Cas9-gRNA核糖核蛋白(RNP)复合物与双链DNA或单链DNA HDR模板共同导入至细胞中,可以绕过病毒传递的方式,最大限度地降低细胞毒性。利用这一方法,作者迅速纠正了T细胞中自体免疫相关的遗传突变,这些T细胞来自于患有罕见的单基因遗传病的同胞;同时通过这一方法对来源于健康供体的T细胞进行了重编程,经过重编程的T细胞在体外和体内模型中都成功地靶向了癌细胞。
我们可以提供常规研究级别和GMP级别的无标签重组Cas9蛋白质。GMP级别的重组Cas9蛋白质,不含人源或动物源成分,它的溶液成分经过了优化,对哺乳动物细胞具有良好的耐受性,可降低导入哺乳动物细胞时所造成的细胞损伤。
免疫基因组学应用于癌症研究的一个挑战就是在癌症患者接受免疫治疗之前和之后,确定T细胞库并鉴定肿瘤反应性T细胞克隆 (Liu et al. 2017)。SMARTer immune profiling kits利用SMART技术和基于5'-RACE的方法来捕获TCR转录本完整V(D)J可变区,提供批量细胞、高通量单细胞等多种T细胞受体的NGS分析解决方案。
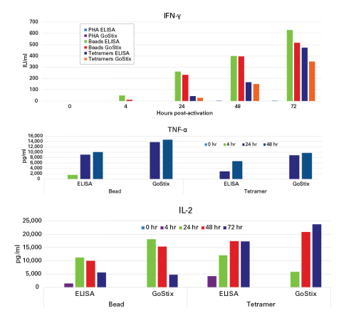
T细胞在转导时的活化状态是病毒载体对T细胞有效修饰的决定因素之一。目前已经开发出多种T细胞活化方法,而在开发T细胞活化方法的过程中,一个共同的实验目标是对不同的T细胞亚型进行分析,以评估各种活化方法的影响和T细胞反应的程度。这些分析通常通过ELISA和微珠或玻璃阵列这样的免疫检测方法来测定分泌的细胞因子,但这些方法较为耗费时间、成本和人力。相比之下,GoStix Plus检测能够在约10分钟内对细胞因子进行定量测定,可在短时间内提供与ELISA检测相当的再现性。
对使用抗CD3/CD28包被珠或抗CD3/CD28四聚体复合物,或使用植物血凝素(PHA)活化的T细胞,分别使用GoStix Plus和相应ELISA试剂盒测定细胞培养上清液中的人细胞因子IFN-γ、TNF-α和IL-2。测定结果表明,使用GoStix Plus花费10分钟测定的细胞因子谱,与使用相应ELISA方法获得的结果相当,所揭示的不同T细胞活化方法之间的差异是相同的,但花费的时间却非常短。

(数据来源于Takara Bio USA, Inc.)
作为一种比传统ELISA更快、更简单的替代方法,GoStix Plus分析方法能够实时确定细胞培养物状态,筛选出需要通过更耗费成本和花费更长时间的方法(如,功能分析,流式微球分析)去做进一步界定和分析的样品,有助于节约研究资源。此外,单次检测形式,也避免了像多孔ELISA那样需要等待样品累积,可以加快研究进度。
支原体污染一直都是困扰细胞培养的一个难题。如果在生产细胞库中含有支原体,这种感染性外源因子甚至会成为可能的致癌因子。那么,支原体检测就显得尤为重要了。CycleavePCR™支原体检测技术,采用Cycling Probe法以支原体16S rRNA为目的基因,可针对支原体进行高灵敏度的特异性检出。该技术可检测包含口腔支原体、精氨酸支原体、猪鼻支原体和莱氏无胆甾原体在内的至少10种支原体。
没有困难的工作,只有不够锋利的砍柴刀。Takara Bio高效基因改造解决方案,硬核输出,助您利刃出击实力出圈。希望有了新技术新工具的加持,肿瘤治疗研究可以有进一步的突破,让更多人类无力抗争的肿瘤疾病从无望治疗变成有望治愈。
以为只有这些?当然不是,我们在病毒基因导入系统方面造诣颇深,体系完备。慢病毒系统,有!逆转录病毒系统,有!腺病毒、腺相关病毒系统,也都有!如果您正无从选择,那么恭喜,您将迎来您和Takara间的双向奔赴。
|